液晶种类非常繁多,人们对液晶有着不同的划分方法。 其中依其分子排列方式, 可分为层状、 柱状、胆固醇型和碟状液晶等。
1 层状液晶
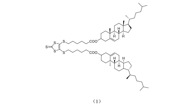
层状液晶又被称为近晶相液晶, 是由棒状液晶分子聚集构成,形成层状结构。 层 与层之间结合能力较弱,容易滑动,但层内结合能力较强,所以分子还是有序排列的。 Ruibin Hou于 2011 年合成了有 2 个胆固醇基团的 1,3-二硫杂环戊二烯-2-硫酮 ( 1), DSC 和 POM 共同初步确定了( 1)是层状液晶,并且进行了 SAXS 实验,由 X 射线衍射数据计算得到层厚为 4.95nm,远远大于估计的分子长度( 2.5nm),基本 呈二倍关系,所以预测分子结构为双分子层状排列,其中 1,3-二硫杂环戊二烯-2–酮 部分发生交错以填满空隙。

2 柱状液晶
柱状液晶分子在空间上主要呈一维排列, 所有棒状液晶分子会选择某一方向作为 主轴并平行排列,而不像近晶相那样具有分层结构. Lei Wang等人合成了一系列基于四硫富瓦烯的液晶分子( 2) ,发现其在很宽 广的温度范围内甚至在室温下呈柱状相液晶。 对目标产物进行 DSC 研究,其中柔性 链为六个碳和八个碳时没有表现出液晶相,增长烷基链到 10、 12 碳时在熔融温度下 能表现出柱状液晶相。尤其是连有最长烷基链时可在 9-96℃的温度范围(包括室温) 下表现出液晶相,并且根据 POM, 1D WAXD 实验结果表明这种液晶相是高度有序 的盘柱状结构,根据 1D WAXD 在低角区的衍射数据计算出 γ 并不是 60℃,所以考 虑其应该是一种倾斜的柱状结构,对于非对称盘状液晶来说这是很常见的。其可溶于 常见的有机溶剂,这使得其可以溶液加工成薄膜。由于酯基吸电子基的存在使化合物 氧化电位都高于 TTF 本身。经实验测定连有最长烷基链时 HOMO 能级电位大概在 -5.37 和-5.39 之间,说明其是一种良好的 P 型有机半导体材料。另外其可在宽温度范 围下可表现出液晶相,并且具有良好的氧稳定性,再加上 TTF 本身的光电特性,都 说明了目标化合物将可能成为一种新型的光电材料。

3 胆固醇液晶
胆固醇液晶顾名思义,是液晶化合物中含有胆固醇衍生物。 胆固醇本身不具有液 晶性,但是当其被碳酸或其他有机酸酯化后,以及羟基被卤素取代后形成的衍生物则 具有了液晶性。 胆固醇通常具有手性, 胆固醇液晶材料呈现出特殊的螺旋状结构, 以 胆固醇液晶而言, 与指向矢的垂直方向分布的液晶分子, 由于其指向矢的不同, 就会 有不同的光学或是电学的差异, 也因此造就了不同的特性,比如具有圆偏光双色性、 选择性光散射等特性。 之前介绍过的 Ruibin Hou等人于 2011 年合成的化合物( 1) , 通过 X 射线衍 射进行了研究, 60℃在小角区出现三个峰,目标产物是一种 2D 六方柱状相。通过计 算得出每个横截面由 8 个分子, 16 个胆固醇链围绕在其周围近似成球状。 从熔融态 降温,首先出现的是胆固醇型液晶,继续降温到 75.5℃时出, POM 下出现了典型的 马赛克纹理,胆固醇相相变成柱状相。
4 碟型液晶 碟型液晶是由高对称性分子重叠形成的向列型聚集体, 针对于液晶单元来说, 它 长的像碟状,故称其为碟型分子。 1998 年 Richard A. Bissell等人合成了一种基于四硫富瓦烯的碟状液晶分子 ( 3) ,研究发现其可在室温至 64.7℃范围内呈现碟型液晶。 作者通过对 BPhDT-TTF 晶核的力场计算和相关化合物的晶体结构研究表明,化合物( 3)采用的应是一种椅 式结构,这种椅式结构使其更易形成棒状结构而非盘状。并且利用了多种电极对目标 产物的直流、交流电响应做了研究。直流电研究表明目标产物可对外加电压作出线性 响应,符合欧姆定则。如同预想的那样,交流电实验电导率非常低,其受到痕量掺杂 物影响。当目标产物与 2 mol %五氯化锑进行 P 掺杂时,其释放出的阳离子浓度时 10^20 cm-3。但交流电导率只提高了 10-11~10-6 s·cm-1。这对于常见盘状物掺杂来说是非常低 的,原因还不是很明确,可能是因为阳离子发生了高度局域化或者被反离子牵制,也 有可能是因为阳离子与中性分子尺寸的差别导致了大面积的晶格扭曲等。作者解决了 这个问题,并生产出电导率更高的四硫富瓦烯衍生物,这种类型液晶即可进行电荷传 输也可进行离子传输,可应用于光电传感器、发光二极管、电子照相等领域。

化学慧定制合成事业部摘录







