中文名称IS-丙酰辅酶A
中文同义词IS-丙酰辅酶A
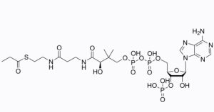
英文名称S-propionylcoenzymeA
英文同义词S-propionylcoenzymeA;[5-(6-aminopurin-9-yl)-4-hydroxy-2-[[hydroxy-[hydroxy-[3-hydroxy-2,2-dimethyl-3-[2-(2-propanoylsulfanylethylcarbamoyl)ethylcarbamoyl]propoxy]-phospChemicalbookhoryl]oxy-phosphoryl]oxymethyl]oxolan-3-yl]oxyphosphonicacid;Propionyl-CoA;propionyl-coenzymeA;CoenzymeA,S-propanoate;Propionyl-CoA-sodium-salt;03:0CoenzymeA;Propionyl-CoenzymeA-Na?Salt
CAS号317-66-8
分子式C24H40N7O17P3S
子量823.6



