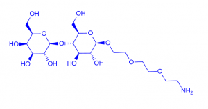
1-[2-{2-(2-aminoethoxy)ethoxy}ethyl] β-lactoside
- Identification
Reaxys ID: 8459503 Chemical Names: 1-[2-{2-(2-aminoethoxy)ethoxy}ethyl] β-lactoside CAS Registry Number(s): 879004-80-5 Substance type: heterocyclic Molecular Formula: C18H35NO13 Linear Structure Formula: C18H35NO13 Molecular Weight: 473.475 No of references: 4 InChIKey: USRLWAZZXZUSMJ-MUKCROHVSA-N



