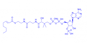
trans-2-dodecenoyl-coenzyme A
- Identification
Reaxys ID: 11165742 Chemical Names: trans-2-dodecenoyl-coenzyme A, trans-2-octenoylcoenzyme A, trans-2-octenoyl-CoA, trans-2-octenoyl CoA, (2E)-2-octenoyl-CoA, (E)-2-octenoyl-CoA, (2E)-octenoyl-CoA CAS Registry Number(s): 10018-94-7 Substance type: Molecular Formula: C29H48N7O17P3S Linear Structure Formula: C29H48N7O17P3S Molecular Weight: 891.724 No of references: 9 InChIKey: CPSDNAXXKWVYIY-NTLMCJQISA-N



