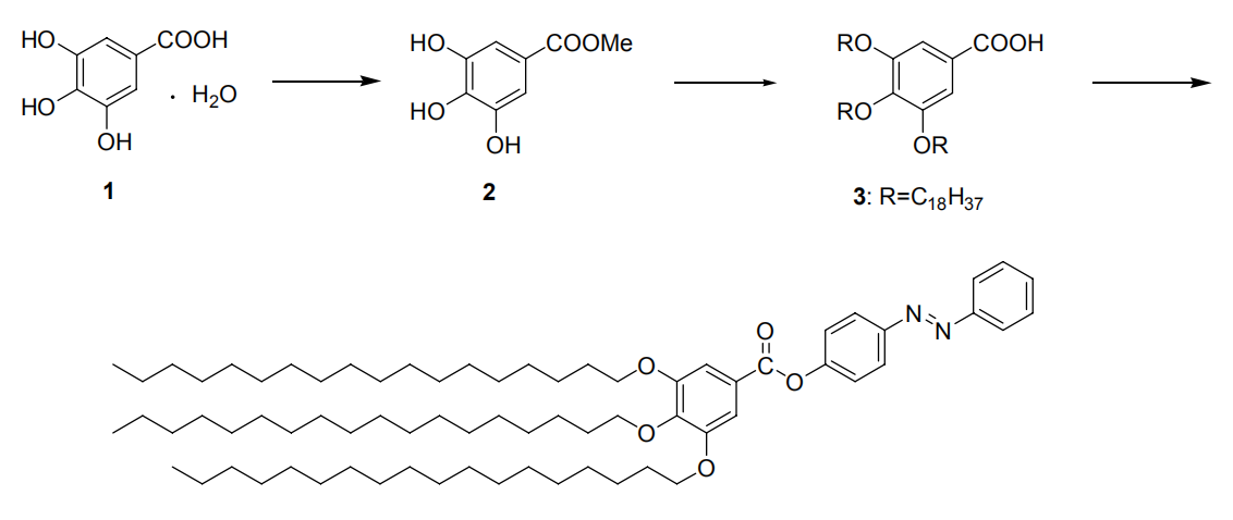
Name:(E)-4-(phenyldiazenyl)phenyl 3,4,5-tris(octadecyloxy)benzoate
C73H124N2O5
Exact Mass: 1108.95
Mol. Wt.: 1109.78
m/e: 1108.95 (100.0%), 1109.95 (81.9%), 1110.96 (35.2%), 1111.96 (10.1%), 1112.96 (2.1%), 1109.96 (2.1%)
C, 79.01; H, 11.26; N, 2.52; O, 7.21
参考路线:




