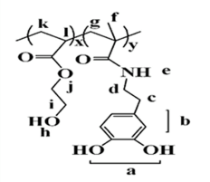
1. 先合成多巴胺甲基丙烯酰胺(DMA)
N-(3,4-dihydroxyphenylethyl)methacrylamide
- Identification
Reaxys ID: 21170368 Chemical Names: N-(3,4-dihydroxyphenylethyl)methacrylamide, N-(3,4-dihydroxyphenethyl) methacrylamide, N-(3,4-dihydroxyphenethyl)methacrylamide, dopamine methacrylamide, DMA CAS Registry Number(s): 471915-89-6 Substance type: Molecular Formula: C12H15NO3 Linear Structure Formula: C12H15NO3 Molecular Weight: 221.256 No of references: 17 InChIKey: NQIMONOHVBBZKE-UHFFFAOYSA-N
2. 将多巴胺甲基丙烯酰胺(DMA)与丙烯酸羟乙酯聚合
参考路线如下:






