货期:3-4周
检测标准:HNMR无明显杂峰,HPLC>96%
请尽快报价,与我们取得联系。
注:接单须通过化学慧担保
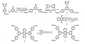
Name:5′,5””-(anthracene-9,10-diyl)bis(([1,1′:3′,1”-terphenyl]-4,4”-dicarboxylic acid))
CAS:913343-74-5
Chemical Formula: C54H34O8
Molecular Weight: 810.8580
m/z: 810.2254 (100.0%), 811.2287 (58.4%), 812.2321 (16.7%), 813.2354 (3.1%), 812.2296 (1.6%)
Elemental Analysis: C, 79.99; H, 4.23; O, 15.78
参考路线步骤:









另参考路线:




