|
(8S,10S,13S,14S,16S,17R)-17-hydroxy-17-(2-hydroxyacetyl)-10,13,16-trimethyl-7,8,12,14,15,16-hexahydro-6H-cyclopenta[a]phenanthren-3-one_CAS:13504-15-9 |
13504-15-9 |
50kg |
询价 |
2017-04-10 |
等待报价 |
|
2-(trifluoromethyl)xanthen-9-one_CAS:1496-15-7 |
1496-15-7 |
25G |
询价 |
2017-04-10 |
等待报价 |
|
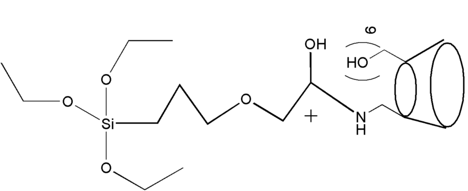
β-环糊精改性化合物 |
无 |
50mg |
询价 |
2017-04-10 |
等待报价 |
|
BRYOPOGONIC ACID_CAS:571-67-5 |
571-67-5 |
0.5g |
询价 |
2017-04-10 |
等待报价 |
|
PHENETHYLAMINE,A,A-DIMETHYL-P-METHOXY- HCL_CAS:56490-93-8 |
56490-93-8 |
1KG |
询价 |
2017-04-10 |
等待报价 |
|
9,10-dihydro-9,10-[1,2]benzenoanthracene-2,3,6,7,14,15-hexaol_CAS:1227256-04-3 |
1227256-04-3 |
5g |
询价 |
2017-04-07 |
交易完成 |
|
4-[4-[4-(4-aminophenyl)phenyl]phenyl]aniline_CAS:53693-67-7 |
53693-67-7 |
5g 10g |
询价 |
2017-04-07 |
交易完成 |
|
4,6-Dichloro-3-methoxy-1H-pyrazolo[3,4-d]pyrimidine_CAS:1936241-59-6 |
1936241-59-6 |
2G |
询价 |
2017-04-07 |
等待报价 |
|
Hexahydro-1,4,5-Oxadiazepine hydrochloride_CAS号:405281-14-3 |
405281-14-3 |
5G |
询价 |
2017-04-07 |
等待报价 |
|
(E)-5-(10-(benzo[d][1,3]dioxol-4-yl)dec-2-en-1-yl)-N-hydroxy-2-methylcyclohex-3-ene-1-carboxamide |
无 |
100mg |
10000 |
2017-04-06 |
交易完成 |