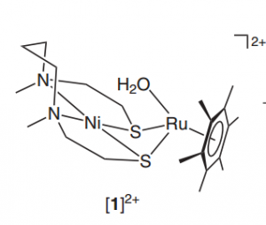
CAS号:942153-19-7
重量(克):1g
价格(元):询价
时间:2017-08-14 10:46:25
交易状态:等待报价
产品为有机金属化合物。有完整的合成步骤文献参考。后续需求量可能增大。有意者联系