提供LC-MS H谱 价格 货期 留下联系方式 98%
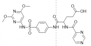
5-((4-(N-(2,6-dimethoxypyrimidin-4-yl)sulfamoyl)phenyl)amino)-5-oxo-4-(pyrimidine-4-carboxamido)pentanoic acid
Chemical Formula: C22H23N7O8S
Molecular Weight: 545.5270
m/z: 545.1329 (100.0%), 546.1362 (23.8%), 547.1287 (4.5%), 547.1396 (2.7%), 546.1299 (2.6%), 547.1371 (1.6%), 548.1320 (1.1%)
Elemental Analysis: C, 48.44; H, 4.25; N, 17.97; O, 23.46; S, 5.88



