17β-estradiol-2,3-quinone
- Identification
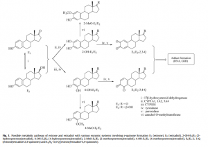
Reaxys ID: 6146791 Chemical Names: 17β-estradiol-2,3-quinone, 17b-Estradiol-2,3-quinone, oestradiol-2,3-quinone CAS Registry Number(s): 42261-16-5 Substance type: isocyclic Molecular Formula: C18H22O3 Linear Structure Formula: C18H22O3 Molecular Weight: 286.371 No of references: 4 InChIKey: LBSRSXWOMYPVBY-XSSYPUMDSA-N 参考文献: – Journal of Steroid Biochemistry and Molecular Biology, 2010, vol. 119, # 3-5, p. 141 – 148




