live chat
live chat
咨询电话:021-58952328
aminoacyl adenylate2018-01-04
产品属性

CAS号:暂无

重量(克):10mg

价格(元):询价

时间:2018-01-04 14:40:32

交易状态:等待报价

产品信息

95%

1,提供LC-MS 核磁谱图  告知货期和价格

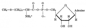
2,图片只是其中一种氨基酸(Met)结合,总共需要20种化合物,分别由20种天然氨基酸反应上去。

参考文献:

 

web聊天