磺酸基位置和个数不做要求,做成钠盐(含实验报告)
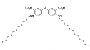
5,5′-oxybis(2-(dodecylamino)benzenesulfonic acid)
Chemical Formula: C36H60N2O7S2
Molecular Weight: 697.0030
m/z: 696.3842 (100.0%), 697.3875 (38.9%), 698.3800 (9.0%), 698.3909 (7.4%), 699.3833 (3.5%), 697.3836 (1.6%), 698.3884 (1.4%)
Elemental Analysis: C, 62.04; H, 8.68; N, 4.02; O, 16.07; S, 9.20




