live chat
live chat
咨询电话:021-58952328
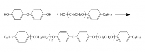
4,4′-oxybis((2-(4-octylphenoxy)ethoxy)benzene)2018-03-28
产品属性

CAS号:暂无

重量(克):50g

价格(元):实单询价

时间:2018-03-28 17:07:48

交易状态:交易完成

产品信息

4,4′-oxybis((2-(4-octylphenoxy)ethoxy)benzene)
Chemical Formula: C44H58O5
Molecular Weight: 666.9430
m/z: 666.4284 (100.0%), 667.4318 (47.6%), 668.4351 (11.1%), 669.4385 (1.7%), 668.4327 (1.0%)
Elemental Analysis: C, 79.24; H, 8.77; O, 11.99

一步反应,原料都很便宜,95%纯

web聊天