提供LC-MS H谱 备注:不残留酸和碱 提供价格和货期 99%
Chemical Name:
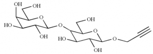
propargyl β-D-galactopyranosyl-(1->4)-β-D-glucopyranoside
Reaxys Registry Number: 8238019
CAS Registry Number: 857642-16-1
Type of Substance: heterocyclic
Molecular Formula: C15H24O11
Linear Structure Formula: C6H11O5OC6H10O5CH2CCH
Molecular Weight: 380.349
InChI Key: PVLGGYRASUDQSJ-YZIZBFEWSA-N



