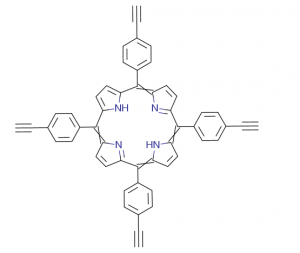
5,10,15,20-tetra(4-ethynylphenyl)porphyrin
- Identification
Reaxys ID: 19352325 Chemical Names: 5,10,15,20-tetra(4-ethynylphenyl)porphyrin, TEPP, tetrakis(4-ethynylphenyl)porphyrin CAS Registry Number(s): 160240-15-3 Substance type: Molecular Formula: C52H30N4 Linear Structure Formula: C52H30N4 Molecular Weight: 710.837 No of references: 3 InChIKey: CWGZUDCLBKTFEM-DQPOEHIJSA-N



