live chat
live chat
咨询电话:021-58952328
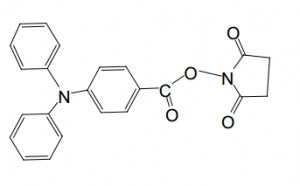
4-N,N-二苯基氨基苯甲酸琥珀酰亚胺2018-05-09
产品属性

CAS号:暂无

重量(克):5g

价格(元):询价

时间:2018-05-09 11:49:25

交易状态:等待报价

产品信息

中文名:4-N,N-二苯基氨基苯甲酸琥珀酰亚胺

英文名:4-Diphenylamino-benzoic acid 2,5-dioxo-pyrrolidin-1-yl ester

C23H18N2O4

Exact Mass: 386.13

Mol. Wt.: 386.40

m/e: 386.13 (100.0%), 387.13 (26.0%), 388.13 (4.2%)

C, 71.49; H, 4.70; N, 7.25; O, 16.56

 

web聊天