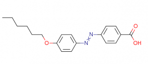
4-(4-hexyloxy-phenylazo)benzoic acid
- Identification
Reaxys ID: 8156450 Chemical Names: 4-(4-hexyloxy-phenylazo)benzoic acid, 4-(4-hexyloxyphenylazo)-benzoic acid, 4-(4-hexyloxyphenylazo)benzoic acid CAS Registry Number(s): 88912-06-5 Substance type: isocyclic Molecular Formula: C19H22N2O3 Linear Structure Formula: C19H22N2O3 Molecular Weight: 326.395 No of references: 15 InChIKey: POGKZLVLHOQDCL-UHFFFAOYSA-N



