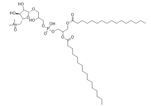
3-(((3-(((2R,4S,5S)-5-((dimethylarsoryl)methyl)-3,4-dihydroxytetrahydrofuran-2-yl)oxy)-2-hydroxypropoxy)(hydroxy)phosphoryl)oxy)propane-1,2-diyl dipalmitate
Chemical Formula: C45H88AsO14P
Molecular Weight: 959.0804
m/z: 958.5128 (100.0%), 959.5161 (48.7%), 960.5195 (11.6%), 960.5170 (2.9%), 961.5228 (1.8%), 961.5204 (1.4%), 959.5190 (1.0%)
Elemental Analysis: C, 56.36; H, 9.25; As, 7.81; O, 23.35; P, 3.23



