提供原料尼罗兰

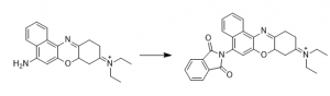
N-(5-(1,3-dioxoisoindolin-2-yl)-7a,8,10,11-tetrahydro-9H-benzo[a]phenoxazin-9-ylidene)-N-ethylethanaminium
Chemical Formula: C28H26N3O3+
Molecular Weight: 452.5335
m/z: 452.1969 (100.0%), 453.2003 (30.3%), 454.2036 (4.4%), 453.1940 (1.1%)
Elemental Analysis: C, 74.32; H, 5.79; N, 9.29; O, 10.61



