live chat
live chat
咨询电话:021-58952328
氨基酸衍生物2018-11-08
产品属性

CAS号:暂无

重量(克):各10g

价格(元):实弹询价

时间:2018-11-08 13:51:16

交易状态:等待报价

产品信息

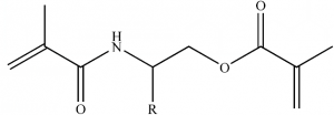
合成苯丙氨酸、丝氨酸和缬氨酸 三种氨基酸的衍生物。

反应分为两步:

1:将氨基酸还原成氨基醇。

2:氨基醇与甲基丙烯酸甲酯缩合,得到目标产物。

三个终产物各10g,价格太贵的话可以少要一些

反应如下:

 

web聊天