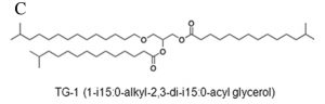
Name:13-Methyl-tetradecanoic acid 1-(13-methyl-tetradecanoyloxymethyl)-2-(13-methyl-tetradecyloxy)-ethyl ester
C48H94O5
Exact Mass: 750.71
Mol. Wt.: 751.26
m/e: 750.71 (100.0%), 751.71 (53.6%), 752.72 (14.8%), 753.72 (3.2%), 751.72 (1.4%), 752.71 (1.0%)
C, 76.74; H, 12.61; O, 10.65

相关参考资料:
Lipid Synthesis. iso15:0 was synthesized by stepwise oxidation of 13-methyltetradecanol. TG1 was synthesized by transformation of the alcohol to the corresponding iodide, etherification with DL-1,2-O-isopropylideneglycerol, acetal cleavage and subsequent acylation of the resulting DL-1-O-13-methyltetradecylglycerol. 13-Methyltetradecanol was synthesized as described by Dickschat et al. from undec-10-en-1-ol by transformation to the corresponding iodide, Cu-catalyzed alkylation with isobutyl magnesium bromide and subsequent regioselective hydroboration with oxidative work-up (8). The TAG Tri-iso15:0 was prepared by acylation of glycerol with iso15:0 fatty acid similar to the procedure described by Schreiberová et al..



