live chat
live chat
咨询电话:021-58952328
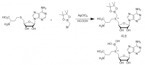
S-(5′-腺苷)-L-高半胱氨酸衍生物2019-01-04
产品属性

CAS号:暂无

重量(克):20ug

价格(元):实单询价

时间:2019-01-04 12:36:12

交易状态:等待报价

产品信息

CAS:979-92-0

((S)-3-amino-3-carboxypropyl)(((2S,5R)-5-(6-amino-9H-purin-9-yl)-3,4-dihydroxytetrahydrofuran-2-yl)methyl)(boronomethyl)sulfonium
Chemical Formula: C15H24BN6O7S+
Molecular Weight: 443.2615
m/z: 443.1515 (100.0%), 442.1552 (24.8%), 444.1549 (16.2%), 445.1473 (4.5%), 443.1585 (4.0%), 444.1486 (2.2%), 445.1558 (1.4%), 445.1582 (1.2%), 444.1510 (1.1%)
Elemental Analysis: C, 40.65; H, 5.46; B, 2.44; N, 18.96; O, 25.27; S, 7.23

参考文献:

 

web聊天