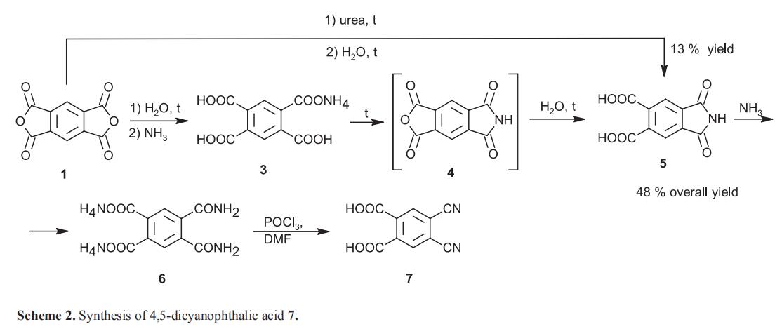
4,5-Dicyano-phthalic acid
C10H4N2O4
Exact Mass: 216.02
Mol. Wt.: 216.15
m/e: 216.02 (100.0%), 217.02 (11.3%), 218.02 (1.5%)
C, 55.57; H, 1.87; N, 12.96; O, 29.61
参考路线

Identification
| Reaxys ID: | 2215444 | ||
|---|---|---|---|
| Chemical Names: | |||
| CAS Registry Number(s): | Substance type: | isocyclic | |
| Molecular Formula: | C10H4N2O4 | Linear Structure Formula: | C10H4N2O4 |
| Molecular Weight: | 216.153 | No of references: | 1 |
| InChIKey: | ZVGSNMIDRFRGBN-UHFFFAOYSA-N | ||



