live chat
live chat
咨询电话:021-58952328
H2N(CH2)3N(tert-butoxycarbonyl)(CH2)4NH2_CAS:182576-24-5;216504-14-22019-06-04
产品属性

CAS号:182576-24-5;216504-14-2

重量(克):1g

价格(元):实单询价

时间:2019-06-04 17:11:08

交易状态:等待报价

产品信息

以下3个化合物,各需要1g。

H2N(CH2)3N(tert-butoxycarbonyl)(CH2)4NH2
  • Identification
    Reaxys ID: 7635681
    Chemical Names: H2N(CH2)3N(tert-butoxycarbonyl)(CH2)4NH2, H2N(CH2)3N(Boc)(CH2)4NH2, N4-(tert-butoxycarbonyl)-spermidine
    CAS Registry Number(s): 182576-24-5 Substance type: acyclic
    Molecular Formula: C12H27N3O2 Linear Structure Formula: H2N(CH2)3N(COOC(CH3)3)(CH2)4NH2
    Molecular Weight: 245.365 No of references: 11
    InChIKey: LXFKQBNEHNLMRB-UHFFFAOYSA-N

 

tert-butyl N-(5-aminopentyl)-N-[4-[5-aminopentyl-[(2-methylpropan-2-yl)oxycarbonyl]amino]butyl]carbamate

Identification
PubChem ID: 21187100
Molecular Formula: C24H50N4O4
Linear Structure Formula: C24H50N4O4
Molecular Weight: 458.688
InChIKey: YPEFCGNZVNVWNN-UHFFFAOYSA-N
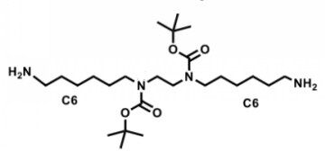
H2N(CH2)6N(tert-butoxycarbonyl)CH2CH2N(tert-butoxycarbonyl)(CH2)6NH2
  • Identification
    Reaxys ID: 18023960
    Chemical Names: H2N(CH2)6N(tert-butoxycarbonyl)CH2CH2N(tert-butoxycarbonyl)(CH2)6NH2, H2N(CH2)6N(Boc)CH2CH2N(Boc)(CH2)6NH2
    CAS Registry Number(s): 216504-14-2 Substance type:
    Molecular Formula: C24H50N4O4 Linear Structure Formula: H2N(CH2)6N(COOC(CH3)3)CH2CH2N(COOC(CH3)3)(CH2)6NH2
    Molecular Weight: 458.685 No of references: 1
    InChIKey: IEYOODPJPHFNJH-UHFFFAOYSA-N
web聊天