以下3个化合物,各需要1g。

H2N(CH2)3N(tert-butoxycarbonyl)(CH2)4NH2
- Identification
Reaxys ID: 7635681 Chemical Names: H2N(CH2)3N(tert-butoxycarbonyl)(CH2)4NH2, H2N(CH2)3N(Boc)(CH2)4NH2, N4-(tert-butoxycarbonyl)-spermidine CAS Registry Number(s): 182576-24-5 Substance type: acyclic Molecular Formula: C12H27N3O2 Linear Structure Formula: H2N(CH2)3N(COOC(CH3)3)(CH2)4NH2 Molecular Weight: 245.365 No of references: 11 InChIKey: LXFKQBNEHNLMRB-UHFFFAOYSA-N
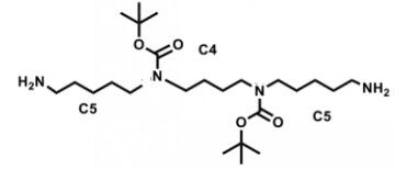
tert-butyl N-(5-aminopentyl)-N-[4-[5-aminopentyl-[(2-methylpropan-2-yl)oxycarbonyl]amino]butyl]carbamate
Identification
| PubChem ID: | 21187100 |
|---|---|
| Molecular Formula: | C24H50N4O4 |
| Linear Structure Formula: | C24H50N4O4 |
| Molecular Weight: | 458.688 |
| InChIKey: | YPEFCGNZVNVWNN-UHFFFAOYSA-N |
H2N(CH2)6N(tert-butoxycarbonyl)CH2CH2N(tert-butoxycarbonyl)(CH2)6NH2
- Identification
Reaxys ID: 18023960 Chemical Names: H2N(CH2)6N(tert-butoxycarbonyl)CH2CH2N(tert-butoxycarbonyl)(CH2)6NH2, H2N(CH2)6N(Boc)CH2CH2N(Boc)(CH2)6NH2 CAS Registry Number(s): 216504-14-2 Substance type: Molecular Formula: C24H50N4O4 Linear Structure Formula: H2N(CH2)6N(COOC(CH3)3)CH2CH2N(COOC(CH3)3)(CH2)6NH2 Molecular Weight: 458.685 No of references: 1 InChIKey: IEYOODPJPHFNJH-UHFFFAOYSA-N



