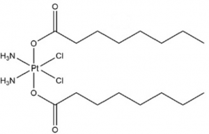
(OC-6–33)-diamminedichloridodioctanoatoplatinum(IV)
- Identification
Reaxys ID: 23930600 Chemical Names: (OC-6–33)-diamminedichloridodioctanoatoplatinum(IV), cis,cis,trans-diamminedichloridobis(octanoato)platinum(IV) CAS Registry Number(s): 1447820-53-2 Substance type: Molecular Formula: C16H36Cl2N2O4Pt Linear Structure Formula: C16H36Cl2N2O4Pt Molecular Weight: 586.459 No of references: 5 InChIKey: CBEVNKQRYLYRAV-UHFFFAOYSA-J



