live chat
live chat
咨询电话:021-58952328
小分子定制合成2019-10-14
产品属性

CAS号:暂无

重量(克):30g

价格(元):实单询价

时间:2019-10-14 13:26:21

交易状态:等待报价

产品信息

要求:

1、每个中间体提供0.5g的标准样品,提供核磁氢谱。
2、需要提供详细的合成报告。

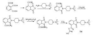
参考路线

web聊天