首页 »
定制大厅 »
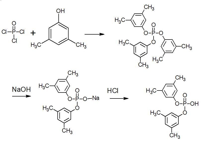
Phosphoric acid bis-(3,5-dimethyl-phenyl) ester_CAS号:42298-07-7
产品信息
纯度要求93%以上
参考路线

-
(3S)-2,2′-双(2,2′-联噻吩-5-基)-3,3′-联环烷_(3S)-2,2′-bis(2,2′-bithiophene-5-yl)-3,3′-bithianaphthene_CAS:1594931-46-0
2026-02-26
-
(3R)-2,2′-双(2,2′-联噻吩-5-基)-3,3′-联环烷_(3R)-2,2′-bis(2,2′-bithiophene-5-yl)-3,3′-bithianaphthene_CAS:1594931-42-6
2026-02-26
-
荜茇酰胺CAS: 20069-09-4
2026-01-29
-
Anzurogenin D CAS: 56816-69-4
2026-01-29
-
葫芦巴碱盐酸盐 CAS No.:6138-41-6
2026-01-29
-
精胺二水合物CAS: 403982-64-9
2026-01-29
-
乙酰牛磺酸镁CAS:75350-40-2
2026-01-29
-
1-甲基烟酰胺氯化物CAS: 1005-24-9
2026-01-29
-
葫芦巴碱硫酸盐 CAS No.:856959-29-0
2026-01-29
-
红景天苷 CAS:10338-51-9
2026-01-29
-
双酚A双环氧乙烷酯_diglycidyl ether diphenolate glycidyl ester_CAS:4204-81-3
2026-01-05
-
CK-3825076_CAS:3023452-80-1
2026-01-05
-
丙酰辅酶A_Propionyl CoA_CAS:317-66-8
2026-01-05