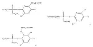
需要以下三种结构

O-ethyl O-(3,5,6-trichloro-2-pyridyl) N-(2-carboxyethyl)-phosphoramidothioate
- Identification
Reaxys ID: 6347318 Chemical Names: O-ethyl O-(3,5,6-trichloro-2-pyridyl) N-(2-carboxyethyl)-phosphoramidothioate CAS Registry Number(s): 182170-86-1 Substance type: heterocyclic Molecular Formula: C10H12Cl3N2O4PS Linear Structure Formula: C10H12Cl3N2O4PS Molecular Weight: 393.615 No of references: 2 InChIKey: YPNVWPYHAODTHH-UHFFFAOYSA-N



