live chat
live chat
登录
注册
首页
定制大厅
新材料
原料采购
现货供应
测试资源
实验室
技术服务
中试放大
行业资讯
推荐阅读
石墨烯
前沿动态
纳米材料
活性炭
材料热点
定制干货
中文
English
咨询电话:021-58952328
首页
定制大厅
新材料
原料采购
现货供应
测试资源
实验室
技术服务
中试放大
行业资讯
推荐阅读
石墨烯
前沿动态
纳米材料
活性炭
材料热点
定制干货
首页
»
定制大厅
»
开环苦参碱连接生物素
开环苦参碱连接生物素
2020-01-02
产品属性
CAS号:暂无
重量(克):10mg
价格(元):询价
时间:2020-01-02 16:57:59
交易状态:等待报价
产品信息
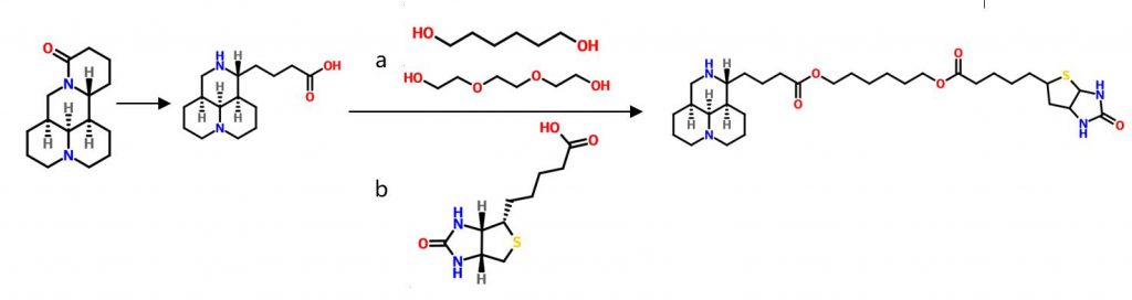
苦参碱开环,再用1,6己二醇或三缩乙二醇将开环苦参碱与生物素连接起来。
我要报价
提交数据
最新产品
(3S)-2,2′-双(2,2′-联噻吩-5-基)-3,3′-联环烷_(3S)-2,2′-bis(2,2′-bithiophene-5-yl)-3,3′-bithianaphthene_CAS:1594931-46-0
2026-02-26
(3R)-2,2′-双(2,2′-联噻吩-5-基)-3,3′-联环烷_(3R)-2,2′-bis(2,2′-bithiophene-5-yl)-3,3′-bithianaphthene_CAS:1594931-42-6
2026-02-26
荜茇酰胺CAS: 20069-09-4
2026-01-29
Anzurogenin D CAS: 56816-69-4
2026-01-29
葫芦巴碱盐酸盐 CAS No.:6138-41-6
2026-01-29
精胺二水合物CAS: 403982-64-9
2026-01-29
乙酰牛磺酸镁CAS:75350-40-2
2026-01-29
1-甲基烟酰胺氯化物CAS: 1005-24-9
2026-01-29
葫芦巴碱硫酸盐 CAS No.:856959-29-0
2026-01-29
红景天苷 CAS:10338-51-9
2026-01-29
双酚A双环氧乙烷酯_diglycidyl ether diphenolate glycidyl ester_CAS:4204-81-3
2026-01-05
CK-3825076_CAS:3023452-80-1
2026-01-05
丙酰辅酶A_Propionyl CoA_CAS:317-66-8
2026-01-05
web聊天
"清朗网络空间,共筑禁毒防线" 全国化工行业禁毒净网倡议
×
下载附件1:禁毒倡议书
下载附件2:易制毒化学品清单
我已阅读并知晓