live chat
live chat
咨询电话:021-58952328
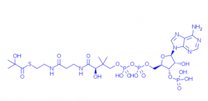
2-hydroxyisobutyryl-CoA_CAS:1383119-39-82020-04-27
产品属性

CAS号:1383119-39-8

重量(克):100mg

价格(元):实单询价

时间:2020-04-27 11:42:14

交易状态:等待报价

产品信息
2-hydroxyisobutyryl-CoA
  • Identification
    Reaxys ID: 22539664
    Chemical Names: 2-hydroxyisobutyryl-CoA
    CAS Registry Number(s): 1383119-39-8
    Molecular Formula: C25H42N7O18P3S Linear Structure Formula: C25H42N7O18P3S
    Molecular Weight: 853.632 No of references: 2
    InChIKey: FFVUICCDNWZCRC-ZSJPKINUSA-N
web聊天